Глава пятая

ТАЙНА СТЕПЕНЕЙ

 

Лучше один раз увидеть, чем много раз

услышать.

Народная мудрость

 

Как известно, после окончания Тридцатилетней войны в Европе по опустошенным странам бродили разбойничьи шайки под видом нищих, бродяг, отслуживших солдат-наемников и странствующих актеров, в том числе и компрачикосов, похищающих или покупающих детей, чтобы, уродуя их, приспособить малышей для привлекающих толпу зрелищ, перепродавая потом уродцев как шутов или «акробатов без костей».

Одной из жертв этих негодяев оказался маленький Жан, худенький, робкий, забитый и изголодавшийся французик из Эльзаса. Его за небольшую мзду продали кочующим «артистам» отчаявшиеся родители, чтобы прокормить остальных шестерых детей.

Изуверы подготовили Жана для удивительного представления в расчете вызвать восторг зрителей. Им объявят о сверхъестественной остроте слуха мальчика, который услышит, несмотря на поднятый зрителями шум, сказанные кем-нибудь из задних рядов шепотом слова, которые услышать невозможно!

Непритязательная толпа шумела, кричала, аплодировала, стучала ногами и скамейками, орала, оглядываясь назад на вставшего в задних рядах и что-то шепчущего шутника. И ликовала, когда мальчонка с птичьим личиком, остреньким носиком и глазами-бусинками, стоя на подмостках, слово в слово повторял сказанное, порой даже по-чужеземному.

Озорники потешались, ругаясь на языке сарацинов или турок, а то и произнося непристойности по-французски, мальчик, не понимая даже смысла мерзостей, безошибочно их повторял.

Мужчины и женщины валились с лавок, катались по полу в исступленном хохоте.

Балаганщики были довольны: толпы ломились к ним и мелкие монеты текли звонкими ручьями.

Как-то на диковинное ярмарочное представление забрел любопытствующий монах-иезуит из монастыря св. Иеронима, отец Максимилиан.

Единственный среди простодушных зрителей, он понял, что мальчик вовсе не обладал феноменальным слухом, а попросту совершенно глух.

Прикинувшись разгневанным, хитрый иезуит явился в балаган и срывающимся фальцетом пригрозил обманщикам разоблачением, ибо мальчик, судя по его произношению, со дня рождения слышал, научившись правильно говорить, а слуха был лишен злодейски своими хозяевами, которые хотели заставить его, ставшего глухим, научиться безошибочно различать звуки по движениям губ.

Предводитель шайки струсил при одном упоминании всесильного Ордена Иисуса и поспешно согласился уступить за сходную цену мальчика монастырю. (Разумеется, при клятвенном обещании монаха молчать о раскрытой им тайне.)

Так щуплый глухой Жан стал сначала служкой, а потом послушником в монастыре св. Иеронима.

Отец же Максимилиан-старший (к тому времени появился и Максимилиан-младший) возвысился до казначея и у самого генерала Ордена был на хорошем счету.

Шло время. Монахи усердно готовили мальчика к предназначенной ему роли, заботясь прежде всего о воспитании в нем фанатически преданного иезуитам католика.

Отец Максимилиан, обладая добродушным лицом и елейным голосом, с завидной артистичностью разыгрывал отеческое отношение к приемышу, окружая его заботой и даже лаской. Неудивительно, что вскоре он стал для него воплощением доброты и святости. Истово верующий юноша готов был на все ради своего спасителя, избавившего его от побоев и унижений в преступной шайке.

Наконец наступила пора применить необыкновенные способности заполученного иезуитами послушника.

Уверенный, что он служит святому делу, глухой послушник старательно караулил у дома матери Сирано де Бержерака. И когда тот появился там, Жан, узнав по описаниям характерный нос, тотчас сообщил о появлении вольнодумца отцам иезуитам.

Дальнейшее поручение следить за каждым шагом безбожника, оскорбившего святой орден и названого отца Жана Максимилиана-старшего, узнавать каждое произнесенное Сирано слово Жан воспринял как выполнение священного долга.

Взамен потерянного слуха у него выработалось некое «шестое чувство», позволявшее ему безошибочно ориентироваться на улицах. Это позволяло ему незаметно всюду следовать на почтительном расстоянии за Сирано.

Однажды, сопровождая так его, он оказался под лесами строящегося дома рядом с трактиром «Не откажись от угощения!».

Прочесть эту вывеску Жан не умел, но то, что Сирано завернул в трактир, заметил и тотчас же проник туда следом, устроившись за дальним столиком так, чтобы видеть губы Сирано и беседующей с ним трактирщицы.

Произнесенное имя Гассенди напомнило Жану, что отец Максимилиан говорил о нем как об изгнанном из Экса иезуитами профессоре, пытавшемся в своих лекциях по философии разлагать студентов идеями язычника Эпикура. Жан сразу насторожился, а когда узнал, что речь идет о бегстве Сирано от гвардейцев его высокопреосвященства, он восхитился прозорливостью отца Максимилиана, угадавшего в Сирано опасного преступника.

Мог ли знать несчастный глухой истинную сущность происшедшего в Париже, а потом в Альпах несколько лет назад!

Появление судейского из Тулузы, метра Ферма, заронило у Жана подозрение, что перед ним заговорщики, замышляющие недоброе против церкви и короля. К великому его сожалению, они вскоре же укрылись в комнате приезжего наверху, и Жан не мог видеть их губ.

Но и того, что Жан успел узнать, было немало. Из беседы Сирано с Франсуазой он понял безнравственность хозяйки, убегавшей через окошко от законного мужа, чтобы бунтовать с чернью на баррикадах, не говоря уже о ее посетителе, бежавшем с ее помощью от преследователей, посланных кардиналом.

Когда «заговорщики» расставались, они произносили скорее всего тайные слова, упоминая какие-то степени.

Отец Максимилиан, выслушав донесения Жана, заметил, что под степенями, несомненно, разумелись титулы владетельных особ, против которых замышлялось злодеяние.

Отец Максимилиан похвалил послушника за усердие и пообещал, что в случае дальнейших успехов он свезет Жана к знаменитому лекарю в Лионе, который сможет вернуть ему слух.

Радости Жана не было границ. Впрочем, его усердие умножать не требовалось.

Через неделю, даже ранее условленного часа, он уже был в трактире Франсуазы и видел, как обрадовалась она заблаговременному, кстати сказать, приходу Сирано де Бержерака.

Она усадила гостя за столик, хорошо видимый Жану, и сказала с укором, который можно было угадать по тому, как складывались ее губы:

— Отчего вы так быстро исчезли в прошлый раз? Или я вам чем-то не угодила? А ведь в былое время, даже очень спеша, вы все же очень хорошо попрощались со мной! Или забыли?

Сирано покраснел, чего Жан объяснить не мог.

— Моя Мадонна! Могу признаться вам, что насколько я торопился в прошлый раз покинуть незамеченным ваш дом, настолько теперь я стремился в него, чтобы увидеться с вами.

— Как понять вас, господин? Вы всегда говорите такими загадками.

— Вы правы, Франсуаза, в отношении загадок, ибо все время, пока я ждал желанной встречи с вами, я посвятил решению загадок.

— Ну вот еще! — воскликнула Франсуаза. — Вам придется объяснить мне это попроще. Я ведь из крестьянской семьи, у нас в доме была всегда одна загадка: как прокормить ребятишек, а нас было одиннадцать. Вот меня и отдали трактирщику, который, спасибо хоть за то ему, перебил меня у бродячих артистов.

Жан вздрогнул при этих словах, но решил, что враг человеческий хочет испытать его готовность служить монастырю и богу.

К величайшей досаде Жана, Франсуаза наклонилась к Сирано и они стали шептаться так, что их губ не было видно. О чем они могли говорить? Жан поспешно пересел за другой столик и вновь стал понимать их загадочный разговор:

— Как же вы могли подумать, чуткий господин, что число волос на голове определяет счастье человека?

— Простите, милая Мадонна, я хотел уберечь вас от своего уродства, от себя во имя вашего же счастья.

— А вы знаете, что такое счастье?

— Хотел бы знать, моя Мадонна!

— Так вы хотите знать, в чем счастье? Я отвечу вам, потому что никогда его не имела и лишь мечтала о нем. И узнала.

— Мадонна! Вашими устами заговорит сама истина!

— Это взаправду истинно, что я вам скажу. Я узнала это там, на баррикаде. Счастье — это Свобода, Равенство, Братство, — и совсем тихо для одного лишь Сирано добавила, но Жан все равно уловил, — и Любовь…

— Так вот в чем Счастье! В Свободе, Равенстве и Братстве?

— И в Любви, — теперь уже громко добавила Франсуаза.

— Вы постепенно открываетесь мне во всей своей подлинной красоте, мадонна Франсуаза! Я боюсь стать слишком частым гостем у вас.

— Почему гостем? Почему только гостем? — краснея и опуская глаза, промолвила Франсуаза и отвернулась, так что Жан перестал ее «слышать».

И тут в трактир вошел к назначенному часу метр Ферма и сразу же опять, к досаде Жана, увел Сирано к себе наверх.

Но если бы каким-либо чудом Жан смог перенестись в комнату Ферма, все сказанное там показалось бы ему иносказаниями, а написанное, если бы он даже знал грамоту, — тайнописью!

— Так что вы уяснили, друг мой, за это время?

— То, что все величины в вашей теореме должны отличаться от нуля.

— Ну это само собой разумеется. Что же еще?

— Пока, метр, мне, безусловно, ясно, что квадрат со сторонами в целых числах можно разделить на два квадрата тоже в целых числах, равно как и линию на два отрезка без остатка. В обоих случаях «плоскостных фигур», то есть умещающихся на плоскости. И в том я усматриваю характерное свойство плоскостных фигур. Этими свойствами уже не обладают ни куб, ни квадрато-квадрат, ни невообразимые фигуры более высоких степеней, представить которые недоступно человеческому уму.

— Браво! Вы прекрасно выразили свойства «плоскостных мест»! Познали сокровенную красоту чистой математики!

— Математика действительно прекрасна, метр. Именно поэтому она должна обладать и такой особенностью, присущей всему прекрасному, как с и м м е т р и я!

— Что вы имеете в виду? — насторожился Ферма.

— Я убежден, что диофантово уравнение степеней должно иметь целочисленное решение не только для линий и квадратов, но и для степеней минус единица и минус два.

— Убеждены? — с лукавством воскликнул Ферма. — Убежденности мало, математика требует доказательств. — И он пододвинул Сирано лист бумаги, обмакнул гусиное перо в чернильницу и протянул его Сирано. — Доказывайте!

— Я воспользовался уроками моего ритора и кое-что вывел дома. Постараюсь сейчас вспомнить.

И он стал писать на бумаге ряд формул.

 Примечание автора для особо интересующихся.

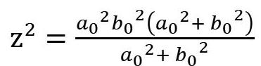
Целочисленные решения диофантова уравнения xn + yn = zn с отрицательными степенями были доказаны в наше время математиком-любителем из г. Мариуполя Г. И. Крыловым, кото- рый для n = — 2 так свел уравнение: 1/x2 + 1/y2 = 1/z2, откуда z2 = x2y2/(x2+y2).

Пользуясь вспомогательным прямоугольным треугольником с пифагоровыми тройками, можно положить x = a0c0, y = b0c0, имея в виду, что c02 = a02 + b02. Подставив теперь принятые значения, имеем:

 

или z=a0b0 

Аналогично получается и для степени n = -1, опять-таки z=a0b0, но x = a0(a0 + b0), y=b0(a0 + b0).

Г. И. Крылов, преобразовав диофантово уравнение в биномы, получил формулу, поэтиче- ски названную им «Людмилой». (Люда + Мила), (|x| + |a|)n + (|x| + |b|)n = (|x| + |c|)n, где |а| = |z| — |x|, |b| = |y| — |x| и |c| = |z| — |x|, позволившую ему решать уравнения и с поло- жительными, и с отрицательными степенями.

— Так что же вы тут написали, мой друг? — спросил Ферма, беря в руки исписанный листок.

— Мне кажется, — скромно заметил Сирано, — что ваша теорема не потеряет от некоторого уточнения.

— Уточнения? Вы хотите уточнять точную науку? Э, мой молодой друг! Мне на радость и удивление, вам удалось решить мою задачу. Однако, — поднял он палец, — лишь наполовину! Угадали «подводную часть» моего загадочного корабля, а мачты с раздутыми парусами остаются в тумане. И вы не знаете метра Ферма! Этот хитрюга любит озадачивать людей своими математическими этюдами. Он, видите ли, близок к шахматам, играл и с Рене Декартом, и с кардиналом Ришелье, и особую склонность имеет к древним «мансубам», шахматным задачам, испытывает наслаждение, решив их. Так вот, он, этот метр Ферма, не хочет лишать наслаждения математиков, которые, самостоятельно найдя открытое и скрытое Пьером Ферма, получат истинную радость открывателей. Разве это так уж худо?

— Напротив, метр! Это прекрасно! Но это означает, что вы знали об отрицательных степенях?

— Разумеется, мой друг! Они   п р и с у т с т в у ю т    в    с к р ы т о м    в и д е   в   моем кратком, в е р н о м   и лаконичном, как все в математике, утверждении о неразлагаемости в целых числах степеней больше квадрата.

— Как же это может быть? Отрицательное скрыто в положительном?

— Это не более сложно, чем только что сделанный вами вывод. Впрочем, продолжим нашу беседу на языке формул. — И он пододвинул к себе лист бумаги с писчими принадлежностями. — Я для вашего удобства тоже воспользуюсь обозначениями Декарта, а не привычными из алгебры Виета. — И на бумаге под его пером стали появляться аккуратно выписанные строчки формул. — Достаточно, мой друг, привести дроби к общему знаменателю и отбросить его.

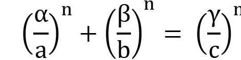
Уравнение Диофанта Xn + Yn = Zn  в общем случае может содержать дроби с целочисленными числителями и знаменателями

Приведем к общему знаменателю это выражение, и умножим обе части на (abc)n тогда (αbc)n + (βac)n = (abγ)n. В частном случае, когда α=β=γ=1, приходим к исходному Xn + Yn = Zn  при X=bc, Y=ac b Z=ab.

— Как видите, — продолжал Ферма, — путем несложных преобразований мы снова приходим к исходному выражению с положительными степенями, хотя начали с отрицательных. Не правда ли? К тому самому выражению, когда целое число, возведенное в степень, может разложиться на два целых числа в той же степени, лишь когда степень эта не больше квадрата. Нельзя представить себе ничего более   о ч е в и д н о г о, но как трудно это доказать. Не знаю, когда мне это удастся? Вот и вы пытаетесь в своем трактате доказать о ч е в и д н у ю    м у д р о с т ь — жить не по праву силы, а по справедливости, противопоставляя «царство хищных птиц» стране мудрецов.

— Поистине, метр, д о п о д л и н н о   о ч е в и д н о е   все же невидимо для закрытых глаз.

— Что ж, открыть на это людям глаза — одна из главных задач доброносцев, вынужденных пока что держать свои намерения в тайне. Однако не продолжить ли нам нашу беседу внизу, за трактирным столом? Госпожа Франсуаза обещала мне угостить нас с вами особым обедом, приготовленным с любовью.

— С любовью? — насторожился Сирано.

— Очевидно, она любит готовить вкусные блюда, — с лукавой улыбкой сказал Пьер Ферма и похлопал Сирано по плечу. Они спустились вниз, где их уже ждала взволнованная Франсуаза. Жан пристально наблюдал за вернувшимися «заговорщиками», стараясь хоть что-нибудь уловить из оброненных ими слов.

Франсуаза сама прислуживала за столом, обменявшись с Сирано взглядом, она потом, подходя к столу гостей, не поднимала глаз.

— Итак, дорогой мой друг! — начал Ферма, поднимая кружку вина. — Я предлагаю выпить за отрицательные степени!

— За разложение степеней, метр!

— Ваши кушанья, госпожа Франсуаза, заставляют забыть обо всем, даже о том, что особенно нужно помнить толстеющему человеку! — говорил Ферма, уплетая жаркое.

Жан старался уловить тайный смысл даже в этих словах. А когда Сирано, поднимая следующую кружку за Франсуазу, которую сравнил с мадонной, говоря, что она, казалось бы, далекая от математики, открыла ему поразительную по своей точности и выразительности формулу, и повторил ее: «Счастье — это Свобода, Равенство, Братство… и Любовь», Жан понял, что заговорщический разговор с лозунгами черни, бушевавшей на баррикадах, продолжается.

Отец Максимилиан, которому он потом постарался передать все это, заметил:

— Отрицательные степени? Это, надо думать, отнятые мятежниками титулы и состояния у высокородных господ. А формула их счастья — это призыв к мятежу, поползновение на божественные устои власти и государства. Мы на верном пути, мой добрый Жан! Что же еще говорили смутьяны?

— Они прощались, отец мой. Судейский возвращался в Тулузу. А Сирано де Бержерак обещал подготовить и прислать ему письмо с доказательством чего-то, что он надеялся доказать, и с трактатом о государствах солнца.

— Это несомненный памфлет, и теперь уже не на кардинала Мазарини, а на самого короля Людовика XIV, которого уже называют Солнцем.

Жан, издали следуя за Сирано, когда он покинул ставший ему таким родным трактир «Не откажись от угощенья!», отметил необычайную задумчивость «заговорщика», шедшего с опущенной головой.

Из-под стропил строящегося рядом с трактиром дома Жан некоторое время наблюдал за Сирано, потом проводил его до самого дома, где Бержерак уединенно жил вместе с матерью и младшим братом.

Что делал, о чем писал Сирано, тень которого виднелась на стене через окно, Жан не знал и узнать не мог.

Не узнали об этом, к несчастью, и ученые всего человечества, напрасно мучившиеся над вопросами, занимавшими в те дни Сирано де Бержерака.

Своими трактатами «Иной свет, или Государства и империи Луны» и «Государства Солнца» (считавшегося незаконченным) Сирано де Бержерак как бы подготовил почву для восприятия лозунгов Великой французской революции.

Ни о чем этом Сирано, конечно, не думал, он искал математическое выражение того, что сказала ему Франсуаза, и живописал жизнь в стране, где все мыслили бы так, как Томмазо Кампанелла.

 

пред. глава           след. глава